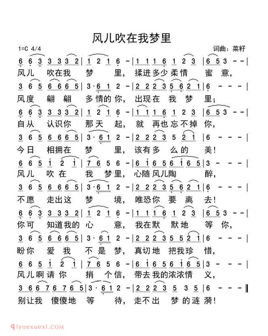
风儿吹在我梦里高清简谱歌词是器乐学习网于2021年08月25日 22:28:29更新分享的歌曲简谱;资源收录于歌曲简谱栏目中;器乐学习网免费分享风儿吹在我梦里简谱与五线谱歌谱图片,欢迎在线免费下载;器乐学习网无需注册会员,直接免费下载各类乐器学习资源及乐谱。

风儿吹在我梦里高清简谱歌词是器乐学习网于2021年08月25日 22:28:29更新分享的歌曲简谱;资源收录于歌曲简谱栏目中;器乐学习网免费分享风儿吹在我梦里简谱与五线谱歌谱图片,欢迎在线免费下载;器乐学习网无需注册会员,直接免费下载各类乐器学习资源及乐谱。
《我的中国心》是张明敏演唱的一首爱国主义歌曲,由黄沾作词,王福龄作曲,收录在张明敏1982年发行的同名专辑《我的中国心》以及2005年发行的专辑《明敏龙情》中。1984年,...
歌曲简谱 241 阅读