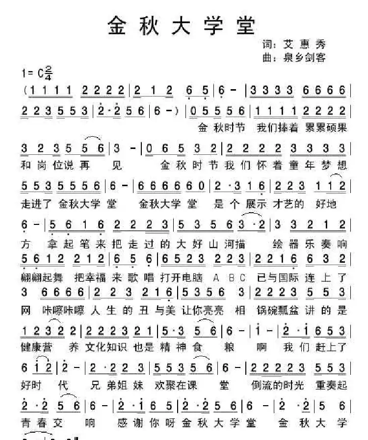
金秋大学堂乐曲简谱,金秋大学堂五线谱图片高清简谱歌词是器乐学习网于2025年03月19日 15:04:59更新分享的歌谱专题;资源收录于歌谱专题栏目中;器乐学习网免费分享金秋大学堂乐曲简谱,金秋大学堂五线谱图片简谱与五线谱歌谱图片,欢迎在线免费下载;器乐学习网无需注册会员,直接免费下载各类乐器学习资源及乐谱。

金秋大学堂乐曲简谱,金秋大学堂五线谱图片高清简谱歌词是器乐学习网于2025年03月19日 15:04:59更新分享的歌谱专题;资源收录于歌谱专题栏目中;器乐学习网免费分享金秋大学堂乐曲简谱,金秋大学堂五线谱图片简谱与五线谱歌谱图片,欢迎在线免费下载;器乐学习网无需注册会员,直接免费下载各类乐器学习资源及乐谱。
